Ответы и авторские решения на все задания для 7, 8, 9, 10 и 11 класса олимпиада по химии 16 октября 2025 школьный этап ВСОШ официальной всероссийской олимпиады школьников 1 группы регионов Сириус всего в олимпиаде 12 заданий от проекта СТОбалльникк приступить к прохождению не позднее 19:00 16 октября 2025 года.
→Получить ответы на все варианты и задания
7-8 класс ответы олимпиада Химия Сириус
1. Заполните пропуски. Вода — это без которого невозможно представить жизнь на нашей планете. Вода является состоит из двух соединением. воды водорода и кислорода. Вода является продуктом горения Химическое название воды — При стандартных условиях (25 °С, 1 атм) вода представляет собой
Ответ: 1.Вещество, 2.бинарное, 3.Молекула, 4.атомов, 5.одного атома, 6.водорода, 7.оксид водорода, 8.жидкость.
2. Навеску некого металла М массой 62.2 г растворили в соляной кислоте при нагревании. При этом выделился газ объёмом 6.72 л (н. у.). Запишите русское название металла металла М. В составе каких предметов присутствует металл М?

Ответ: 1.Свинец 2. Рыболовные грузила, Пули
3. В 3 моль вещества содержится 1.08. 1025 атомов. Какое вещество это может быть?
H2O
Fe3 04
KMnO4
02
HNO3
CaSO4 2H2O
Al(NO3)3
Ответ: Al(NO3)3 , HNO
4. B этом году исполняется 410 лет со дня публикации Tyrocinium Chymicum — первого учебника химии, содержащего уравнения химических реакций. Заполните пропуски. 3Ba(OH)2 + 2H3PO4 — Ваз (РО4) + 2Na+ →2NaOH + H2 4Fe + +6H2O 4Fe(OH) 2KMnO4 K₂MnO4 + MnO2+

Ответ: 1.6H2O 2. 2H2O 3.3O2 4.O2
5. К 220 г воды при температуре 30 °С добавили 88.8 г хлорида калия и тщательно перемешали. На графике представлена зависимость растворимости хлорида калия в воде от температуры. Определите массовую долю соли в растворе. Ответ выразите в процентах, округлите до целых. Сколько воды необходимо добавить, чтобы растворить весь хлорид калия при этой температуре? Ответ выразите в граммах, округлите до целых.

Ответ: 1.28% 2.14г
6. Элемент Х может образовывать множество соединений. Определите классы этих соединений по их формулам. Запишите химический символ элемента Х.

Ответ: 1. — K2X2O3 — Кислая соль X8 — Металл XO2 — Оксид H2XO4 — Кислота 2.S
7. Для разделения компонентов смеси, состоящей из трёх веществ, использовали следующую последовательность действий:

Из каких компонентов могла состоять такая смесь?
Из железа, сахара и соды
Из меди, ртути и соли
Из соды, уксуса и стали
Из серы, йода и крахмала
Из чугуна, воды и воска
Ответ: Из серы, йода и крахмала
8. Расставьте индексы в формуле основного компонента изумруда, учитывая, что все элементы в соединении проявляют максимальную валентность, а массовая доля кремния в нём равна 31.

9. Запишите химические символы элементов А, Б, В и Г, если известно, что: • А и Б располагаются в одной группе таблицы Д. И. Менделеева; . Б, В и Г находятся в одном и том же малом периоде таблицы Д. И. Менделеева; А образует простое газообразное вещество (н. у.), являющееся основным компонентом нашего Солнца и большинства других звезд; Б является металлом, который при попадании в воду может воспламениться; B образует высший оксид вида ВО2; Г — это тяжёлый (тяжелее воздуха) инертный газ.
→ Смотреть все ответы
10. Массовые доли элементов в неизвестном веществе представлены на диаграмме. Выберите формулу этого вещества:
CuSO4
CH3COOН
NaHCO3
NaCl
CaCO3

11. Установите соответствие между формулами и характеристиками веществ.

12. На рисунке изображён фрагмент кристалла некого вещества (газообразного при н. у.), состоящего из кислорода (красные шарики) и элемента (чёрные шарики). Соотношение атомов в химической формуле такое же, как на рисунке. Сколько атомов кислорода приходится на один атом элемента Х? Массовая доля кислорода в данном соединении — 72.7%. Определите формулу соединения.
→ Смотреть все ответы

Атмосфера одной из планет нашей Солнечной системы на 95% состоит из этого газообразного вещества. Что это за планета?
Земля
Mapc
Тау Кита
Проксима Центавра
Плутон

9 класс ответы олимпиада Химия Сириус
1. В периодической системе Д. И. Менделеева есть несколько элементов-«перевёртышей», при чтении символов которых справа налево воспроизводится символ другого элемента. Определите молярную массу соединения, образованного парой нерадиоактивных элементов-«перевёртышей», один из которых является активным металлом, другой — активным неметаллом. Ответ выразите в г/моль, округлите до целых.
а-распад — вид радиоактивного превращения, при котором ядро элемента испускает а-частицу, состоящую из двух протонов и двух нейтронов (то есть ядро атома гелия- 4). Какой элемент образуется при а-распаде самого лёгкого из «перевёртышей», не имеющих стабильных изотопов? Запишите порядковый номер этого элемента.
Ответ: 1.121 2.97
2. Студенты-геологи готовились к практикуму по минералогии, проводя описание образцов из учебной коллекции. На коробках указан только химический состав минералов, а их названия студентам прекрасно известны. Помогите студентам разложить образцы по коробкам после подготовки: установите соответствие между названиями и химическим составом минералов.

При взаимодействии каких из этих веществ с концентрированной азотной кислотой будет выделяться газ?
Ответ: Магнетит (Fe3O4), Гематит (Fe2O3), Корунд (Al2O3), Куррит (Cu2O), Гирит (MgCO3). С HNO3 выделяют газ: Cu2O, MgCO3, FeS2.
3. В настоящее время электроном называют открытую в конце 19 века первую элементарную частицу, а ранее этот термин был весьма многозначным. Электроном называли и янтарь, и сплав (другое название сплава — электрум) двух Драгоценных металлов, известных издревле. Из каких металлов получают данный сплав? В ответ запишите сумму их порядковых номеров. Определите количество вещества элементарных частиц-электронов, входящих в состав электрона, приготовленного сплавлением 13 г более тяжёлого металла и 20 г более лёгкого. Ответ округлите до целых.
Ответ: 1.126 2. 1 моль
3.2. В настоящее время электроном называют открытую в конце 19 века первую элементарную частицу, а ранее этот термин был весьма многозначным. Электроном называли и янтарь, и сплав (другое название сплава — электрум) двух Драгоценных металлов, известных издревле. Из каких металлов получают данный сплав? В ответ запишите сумму их порядковых номеров. Определите количество вещества элементарных частиц-электронов, входящих в состав электрона, приготовленного сплавлением 14 г более тяжёлого металла и 19 г более лёгкого. Ответ округлите до целых.
Ответ: 126, 14
3.3. Определите количество вещества элементарных частиц-электронов, входящих в состав электрона, приготовленного сплавлением 7 г более тяжёлого металла и 14 г более лёгкого. Ответ округлите до целых.
Ответ: 126, 10
3.4. Определите количество вещества элементарных частиц-электронов, входящих в состав электрона, приготовленного сплавлением 15 г более тяжёлого металла и 20 г более лёгкого. Ответ округлите до целых.
Ответ: 126, 15
4. В медицине при гипертоническом кризе для понижения давления пациенту вводят 20-25%-ный раствор сульфата магния. Какую минимальную массу английской соли (она же эпсомская соль, она же горькая соль — MgSO4 7120) следует взять для приготовления 25 г такого раствора? Ответ выразите в граммах, округлите до десятых.
Ответ: 6,3г
4.2. В медицине при гипертоническом кризе для понижения давления пациенту вводят 20-25%-ный раствор сульфата магния. Какую минимальную массу английской соли (она же эпсомская соль, она же горькая соль — MgSO4 7H2O) следует взять для приготовления 33 г такого раствора? Ответ выразите в граммах, округлите до десятых.
Ответ: 13,5
4.3. В медицине при гипертоническом кризе для понижения давления пациенту вводят 20-25%-ный раствор сульфата магния. Какую минимальную массу английской соли (она же эпсомская соль, она же горькая соль — MgSO4 7H2O) следует взять для приготовления 19 г такого раствора? Ответ выразите в граммах, округлите до десятых.
Ответ: 7,8
4.4. В медицине при гипертоническом кризе для понижения давления пациенту вводят 20-25%-ный раствор сульфата магния. Какую минимальную массу английской соли (она же эпсомская соль, она же горькая соль — MgSO4 7H2O) следует взять для приготовления 35 г такого раствора? Ответ выразите в граммах, округлите до десятых.
Ответ: 14, 4
5. Как интересно, рассуждал Незнайка, глядя на поднимающийся в духовке пирог. Что же сюда добавлено? Гидрокарбонат аммония? Может быть, продуктами его разложения можно наполнить воздушный шар, чтобы отправиться в Солнечный город? Должен тебя разочаровать, — сказал Знайка, к которому Незнайка обратился за советом. Твой шар может и не полететь. Вот если сначала выделяющийся газ пропустить через концентрированный раствор некоторого вещества, то оставшимся газом можно смело наполнять шар. Раствор какого вещества имел в виду Знайка?
Бромоводорода
Хлорида натрия
Азотной кислоты
Гидроксида натрия
Серной кислоты
Ответ: Гидроксида натрия
Определите молярную массу газа, который останется после пропускания продуктов разложения гидрокарбоната аммония через раствор этого вещества.
Ответ: 2.17 г/моль
6. Если в каждый из пятиугольников, начиная с угла, обозначенного номером, вписать по часовой стрелке название химического элемента, то в шестиугольнике получится название мягкого серебристо-белого металла. Запишите названия этих элементов. 1. Теллур назван в честь Земли, а этот элемент — в честь Луны.

Продукт a распада элемента, открытого Марией Склодовской-Кюри (а-распад — тип радиоактивного распада, при котором ядро атома испускает а-частицу — ядро гелия-4). Нестабильный галоген. Третий по объёмной доле компонент воздуха. Элемент, который впервые был обнаружен на Солнце. 6. Элемент, название которому дал природный краситель синего цвета. Итоговое слово.
Ответ: 1. Селен, 2. Полоний, 3. Астат, 4. Аргон, 5. Гелий, 6. Индий. Итоговое слово: «СПААГИ»
7. Воды залива Кара-Богаз-Гол Каспийского моря содержат вещество, из которого образуется минерал, носящий имя «чудесный» (от лат. sal mirabile). А — минерал сезонный: зимой воды залива остывают и минерал А выпадает из раствора, попадая на берег со штормовыми волнами. Летом солнце прогревает неглубокие воды залива и волны растворяют залежи минерала. Запишите название минерала А. Навеска минерала А массой 50.00 г реагирует без остатка с раствором, содержащим 32.30 г хлорида бария, при этом в растворе остаётся только вещество, являющееся основным компонентом морской соли, а выделившийся осадок не растворяется в уксусной кислоте. Какая масса кристаллизационной воды содержится в этой навеске? Ответ выразите в граммах, округлите до целых.

Ответ: 1. Мирабилит (Глауберова соль, Na2SO4·10H2О). 2.18 г
8. Весной бабушке нужно внести под малину азотное удобрение. В её распоряжении имеются следующие вещества: аммиачная селитра, калийная селитра, хлорид аммония, сульфат аммония. Какую среду создают данные вещества в почве?

Малина предпочитает почву с нейтральной реакцией среды. Какое вещество следует выбрать бабушке? При прочих равных условиях содержание азота должно быть максимальным.
Сульфат аммония
Хлорид аммония
Калийную селитру
Аммиачную селитру
→ Смотреть все ответы
9. Фториды являются важными веществами в промышленности. Так, бинарное соединение ХF, используют как хладагент и компонент дыхательных смесей. Фторид неметалла ҮЕ TTa нашёл применение в микроэлектронике, а также как теплоноситель и звукоизолятор, афторид металла 2 важен для атомной промышленности. Известно, что атомные веса элементов Х, У и Z соотносятся как 1: 2.67: 19.82. Запишите названия элементов X, Y, 2, если известно что все элементы в указанных соединениях проявляют свою высшую валентность, а валентность элементов X и Z одинакова.
10. В ребусе зашифрована формула некоторого ядовитого газообразного химического соединения. Рисунки соответствуют элементам, а числа показывают их процентное содержание по массе. Известно, что одно из простых веществ, образуемых элементом с массовой долей 26.67%, защищает всё живое на Земле от жёсткого ультрафиолетового излучения. Заполните пропуски в таблице символами соответствующих элементов. Запишите брутто-формулу загаданного соединения. Определите валентность элемента с массовой долей 20.00% в этом соединении.

11. Смесь углекислого газа, водорода и ещё одного газа, количество вещества которого равно количеству вещества углекислого газа в смеси, пропустили через склянку с избытком раствора гидроксида калия, при этом масса склянки увеличилась на 0.132 г. После этого полученную газовую смесь пропустили через сосуд с нагретым оксидом меди (II), при этом получилось 0.18 г паров воды. Третий компонент в описанных превращениях не участвовал, а его массовая доля в исходной газовой смеси составляет 28.30%. Определите молярную массу непрореагировавшего компонента газовой смеси. Ответ выразите в г/моль. Запишите его брутто-формулу.
→ Смотреть все ответы
12. Вещества А, В и С имеют широкое применение в пищевой промышленности. А мелкокристаллический порошок белого цвета, бурно реагирующий с веществами В и С. Вещество А также используется в качестве разрыхлителя в хлебопечении и применяется при воспалении горла. Вещество В, жидкость, имеющая резкий запах, часто служит консервантом. Соединение С входит в состав разрыхлителей для теста и средств для очистки бытовой утвари от ржавчины. Известно также, что все три вещества содержат углерод, а вещества В и С относятся к одному классу соединений. Запишите их тривиальные названия.

10 класс ответы олимпиада Химия Сириус
1. В распоряжении экспериментатора находятся два сосуда: один — объёмом 3 литра, заполнен аммиаком при давлении 0.9 атм. Второй — объёмом 2 литра, заполнен бромоводородом при давлении 4 атм. Сосуды соединили. Какое давление установится в системе? Ответ выразите в атмосферах, округлите до десятых. Объёмом соединительного шланга пренебречь. Опыт проводили при температуре 25 °C.
Ответ: 1,5
1.2 В распоряжении экспериментатора находятся два сосуда: один — объёмом 4 литра, заполнен аммиаком при давлении 0.4 атм. Второй — объёмом 1 литр, заполнен бромоводородом при давлении 4 атм. Сосуды соединили. Какое давление установится в системе? Ответ выразите в атмосферах, округлите до десятых. Объёмом соединительного шланга пренебречь. Опыт проводили при температуре 25 °C.
Ответ: 0,8
1.3. В распоряжении экспериментатора находятся два сосуда: один — объёмом 3.5 литра, заполнен аммиаком при давлении 0.5 атм. Второй — объёмом 1.5 литра, заполнен бромоводородом при давлении 6 атм. Сосуды соединили. Какое давление установится в системе? Ответ выразите в атмосферах, округлите до десятых. Объёмом соединительного шланга пренебречь. Опыт проводили при температуре 25 °С.
Ответ: 1,5
2. В ребусе зашифрован состав соединения, содержащего кристаллизационную воду. Каждая картинка соответствует одному из элементов. Под картинками приведены массовые доли элементов. При расчётах атомные массы элементов округляйте до целых. Заполните пропуски в таблице символами элементов. Запишите формулу вещества с указанием числа молекул кристаллизационной воды.

Ответ: Na₂B₄O₇ · 10H₂O
3. Охарактеризуйте пространственную структуру данных соединений.

Ответ: Углекислый газ — линейная, Оксид серы (VI) — треугольная, Сероводород — уголковая, Аммиак — пирамидальная
4. Углеводород сожгли в избытке кислорода, продукты сгорания последовательно пропустили сначала через колонку, заполненную оксидом фосфора (V), а затем через колонку, заполненную твёрдым гидроксидом натрия. При этом массы колонок увеличились на 0.225 г и 0.44 г соответственно. Запишите брутто-формулу углеводорода. Насколько увеличится масса колонки с твёрдым гидроксидом натрия после пропускания продуктов сгорания, если колонки поменять местами? Ответ выразите в граммах, округлите до тысячных.
Ответ: C₂H₂; 0,550
5. Эквимолярную смесь этилена и водорода нагрели в присутствии каталитического количества платины. Через некоторое время реакцию остановили, средняя молярная масса газовой смеси составила 28 г/моль. Найдите степень протекания реакции. Ответ выразите в процентах, округлите до целых. Считайте, что платина поглощает пренебрежимо малое количество водорода.
Ответ: 75
6. Имеется ряд углеводородов и некоторая характеристика каждого из них, выраженная числом. Заполните пропуск. этан — 2, пропан — 4, бутан — 6, изобутан — 3, пентан — О какой характеристике идёт речь?
Число моногалогенпроизводных
Число дигалогенпроизводных
Число изомеров
Число метильных групп
Число атомов водорода, делённое на 2
Ответ: 8; Число моногалогенпроизводных
7. Решив предложенный кроссворд, в выделенных по вертикали клетках вы получите имя и фамилию известного химика, принимавшего самое непосредственное участие в открытии элементов или веществ, загаданных в кроссворде по горизонтали. Самый распространённый элемент на земле: 2. Элемент, соединения которого используют при рентгеноскопии пищеварительного тракта: 3. Ядовитый газ с чесночным запахом: 4. Самый тугоплавкий металл: 5. Страна, где жил химик, загаданный в кроссворде: 6. Элемент побочной подгруппы, атомы которого входят в состав сильного окислителя, часто используемого в химических лабораториях: 7. Редкий элемент — металл 6-ой группы, придающий сплавам жаропрочность: 8. Элемент, входящий в состав галита: 9. Вещество, получаемое гидролизом жиров: Запишите имя и фамилию учёного.

8. В молекуле предельного углеводорода первичных углеродных атомов в три раза больше, чем четвертичных. Этот углеводород не может быть получен гидрированием соответствующего алкена. Сколько первичных углеродных атомов в молекуле наименьшего по молекулярной массе углеводорода, отвечающего этому описанию?
Ответ: 12
9. Некий химик решил заняться литературным творчеством, но все использованные им средства художественной выразительности имели налёт профессиональной деформации. Заполните пропуски в описаниях.

10. Дана цепочка превращений. Определите молярную массу соединения Х3. Ответ выразите в г/моль. Запишите название структурного изомера вещества X5, в молекуле которого содержатся только вторичные углеродные атомы.

11. Незадачливый лаборант налил в склянки четыре аликвоты кислот: разбавленной и концентрированной серной кислоты, разбавленной (10 %-ной) и концентрированной азотной кислоты — и, конечно же, забыл подписать склянки. Для того, чтобы различить эти кислоты, он решил взять со склада образцы разных металлов, таких как железо, медь, алюминий и золото. Какой из этих металлов позволит однозначно распознать кислоты в склянках? Имейте в виду, что у лаборанта нет возможности проведения опытов при нагревании.
Железо
Медь
Алюминий
Золото
12. Учёные получили пять бесцветных водных растворов различных веществ с одинаковой концентрацией — 0.1 моль/л. Однако измерить рН этих растворов не удалось: индикатор испортился, а цифровой рН-метр внезапно отказал. Ваши знания — единственный надёжный инструмент. Определение рН Расположите вещества слева направо в порядке возрастания рН их водных растворов. Определите рН водного раствора НСІ с концентрацией 0.1 моль/л. Определите рН водного раствора NaOH с концентрацией 0.1 моль/л.

11 класс ответы олимпиада Химия Сириус
Задание 1. В распоряжении экспериментатора находятся два сосуда: один объёмом 1 литр, заполнен диметиламином при давлении 0.7 атм. Второй объёмом 2.5 литра, заполнен бромоводородом при давлении 4 атм. Сосуды соединили. Какое давление установится в системе? Ответ выразите в атмосферах, округлите до десятых. Объёмом соединительного шланга пренебречь. Опыт проводили при температуре 25 ∘C .
Ответ: 2
Задание 2. В ребусе зашифрован состав соединения‑антидота (вещества, нейтрализующего яды), содержащего кристаллизационную воду. Каждая картинка соответствует одному из элементов, число указывает на его массовую долю. При расчётах атомные массы элементов округляйте до целых.
Заполните пропуски в таблице символами элементов.

Ответ: Элементы: S, O, H, Na
Запишите формулу вещества c указанием числа молекул кристаллизационной воды. ⋅⋅ H2O
Ответ: Na2S2O3·5H2O
Задание 3. Золото может существовать в виде наночастиц различного размера состава Aux, обладающих ярко выраженными противомикробными, каталитическими и люминесцентными свойствами. Какая масса металла потребуется для получения 8.5⋅1021 наночастиц Au45 , если процесс приготовления включает растворение металла в царской водке (выход продукта 95 %) и последующее восстановление формиатом натрия (выход 92 %)? Ответ выразите в граммах, округлите до десятых.
Ответ: 296,8
Задание 4. Утром в воскресенье к химику Ивану домой заглянул коллега и принёс склянку с полустёртой надписью «……наль, 15 % водный раствор». Класс этого вещества был понятен обоим химикам, но для более точного определения коллега попросил Ивана провести анализ в его домашней лаборатории.
Недобро покосившись на энтузиаста, Иван взял из домашней аптечки марганцовку, отвесил 4.75 г, растворил в воде, добавил 10 мл кислоты для заправки аккумулятора и довёл объём раствора до 250 250 мл. Далее Иван определил плотность неизвестного раствора — — она оказалась равна 1.0 г/см3 , отобрал аликвоту этого раствора объёмом 2 мл и стал добавлять порциями по 0.5 мл раствор марганцовки. Экспериментатор отметил, что при добавлении 17.0 мл раствор оставался бесцветным, а вот при добавлении 17.5 мл раствора марганцовки раствор приобрёл розовую окраску.
Определите молярную массу вещества в склянке. Ответ выразите в г/моль, округлите до целых.
Ответ: 58
Задание 5. В составе промышленно важного газообразного углеводорода разность массовых процентов элементов равна 71 %. К какому классу относится данный углеводород?

Установите соответствие между реагентами и продуктами их реакции с этим углеводородом.

Задание 6. В молекуле симметричного углеводорода A состава C14H10 содержатся 2 атома углерода в sp‑гибридном состоянии. Известно, что углеводород A вступает с бромом в реакцию присоединения в мольном соотношении 1:2, а в присутствии бромида железа (III) вступает с бромом в реакцию замещения. Какие структурные фрагменты содержатся в составе молекулы углеводорода A?
Сколько различных монобромпроизводных может образовать углеводород A?
К какому классу органических соединений относится продукт гидратации углеводорода A?

Задание 7. Используемую в пищевой и косметической промышленности вязкую органическую жидкость массой 0.307 г сожгли в избытке кислорода, продукты сгорания последовательно пропустили сначала через колонку, заполненную оксидом фосфора (V), а затем через колонку, заполненную твёрдым гидроксидом натрия. При этом массы колонок изменились на 0.24г и 0.44 г соответственно.
Запишите брутто‑формулу исходного вещества.
Запишите тривиальное название этого вещества.
Насколько увеличится масса колонки с твёрдым гидроксидом натрия после пропускания продуктов сгорания, если колонки поменять местами? Ответ выразите в граммах, округлите до сотых.
Задание 8. Кислородсодержащие органические полимеры находят широкое применение в быту. Заполните таблицу.

Какие из этих полимеров могут быть получены реакцией полимеризации?
Полиэтилентерефталат
Поливинилацетат
Полиметилметакрилат
Поликарбонат
Задание 9. Если на галогеноалкан A подействовать спиртовым раствором щёлочи, то образуется углеводород Б, плотность паров которого в 2.9 раза меньше, чем плотность паров исходного вещества. При взаимодействии А с NaNa получается углеводород В, который при дегидрировании даёт ароматическое соединение Г. В ходе реакции Г и Б образуется вещество Д, используемое для получения кетона Е.
Запишите брутто‑формулу углеводорода В.
Запишите тривиальное название соединения Д.
Сколько протонов содержится в молекуле кетона Е?
Запишите название галогеналкана А по номенклатуре ИЮПАК.
Задание 10. Органические соединения А и Б являются межклассовыми изомерами. В составе молекулы каждого содержится 61.31 % углерода, 5.11 % водорода, 23.36 % кислорода и 10.22 % азота.
Известно, что соединение Б реагирует с разбавленными кислотами и щелочами с образованием солей. Соединение А в такие реакции не вступает. Оба изомерных соединения могут вступать в реакции замещения в присутствии катализаторов. Соединение Б может быть получено из соединения А.
Запишите русское название соединения Б
Какие типы реакций надо провести, чтобы осуществить превращение А → Б?
Окисление
Алкилирование
Гидратацию
Восстановление
Этерификацию
Дегидрирование
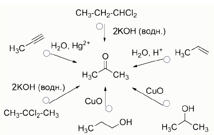
Задание 11. Преподаватель попросил студентов привести примеры хотя бы трёх способов получения ацетона. Никита смог найти даже больше, однако, изучив показанную им схему, другие студенты обнаружили в ней ошибки.
Какие реакции НЕ приведут к получению ацетона?

Задание 12. Учёные получили пять бесцветных водных растворов различных веществ с одинаковой концентрацией — 0.1 моль/л. Однако измерить pH этих растворов не удалось: индикатор испортился, а цифровой pH-метр внезапно отказал. Ваши знания — единственный надёжный инструмент.
Расположите вещества слева направо в порядке возрастания pH их водных растворов.

Определение pH

Наши ответы и задания олимпиады по химии подойдут для регионов Сириус: Архангельская область 2. Волгоградская область 3. Вологодская область 4. город Севастополь 5. Донецкая Народная Республика 6. Запорожская область 7. Кабардино-Балкарская Республика 8. Карачаево-Черкесская Республика 9. Краснодарский край 10. Луганская Народная Республика 11. Мурманская область 12. Новгородская область 13. Псковская область 14. Республика Адыгея 15. Республика Дагестан 16. Республика Калмыкия 17. Республика Коми 18. Республика Крым 19. Республика Северная Осетия — Алания 20. Ростовская область 21. Ставропольский край 22. Херсонская область 23. Чеченская Республика.



